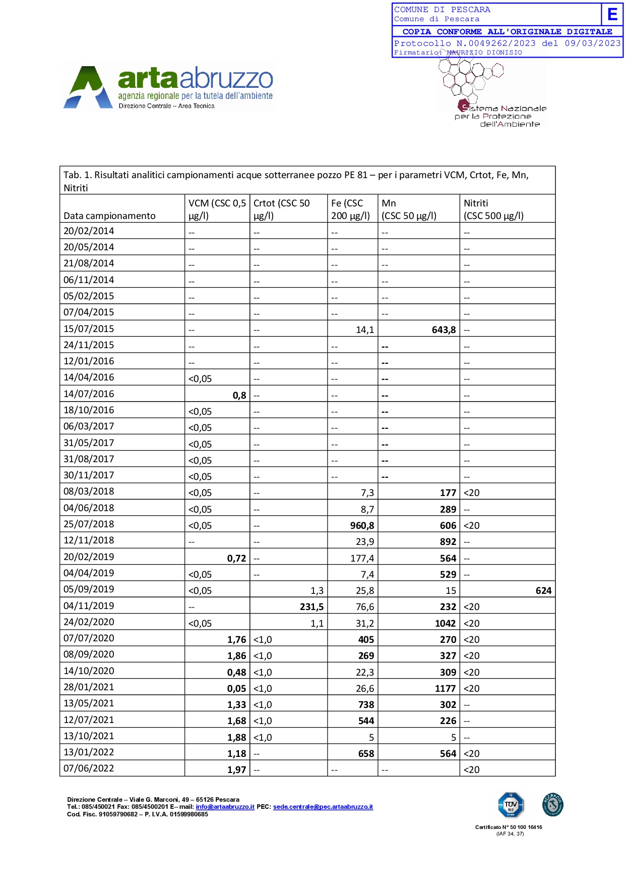
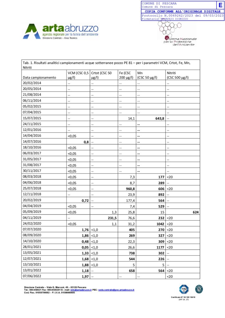
SITO SCHEDA ARTA PE900112 – POZZO DISTRETTO ARTA DI PESCARA Vai alla mappa Di seguito sono riportati i risultati analitici delle acque sotterranee prelevate nel pozzo PE81 e trasmessi da ARTA con nota acquisita al prot. n. 49262 del 09/03/2023